文静
贺丹丹 

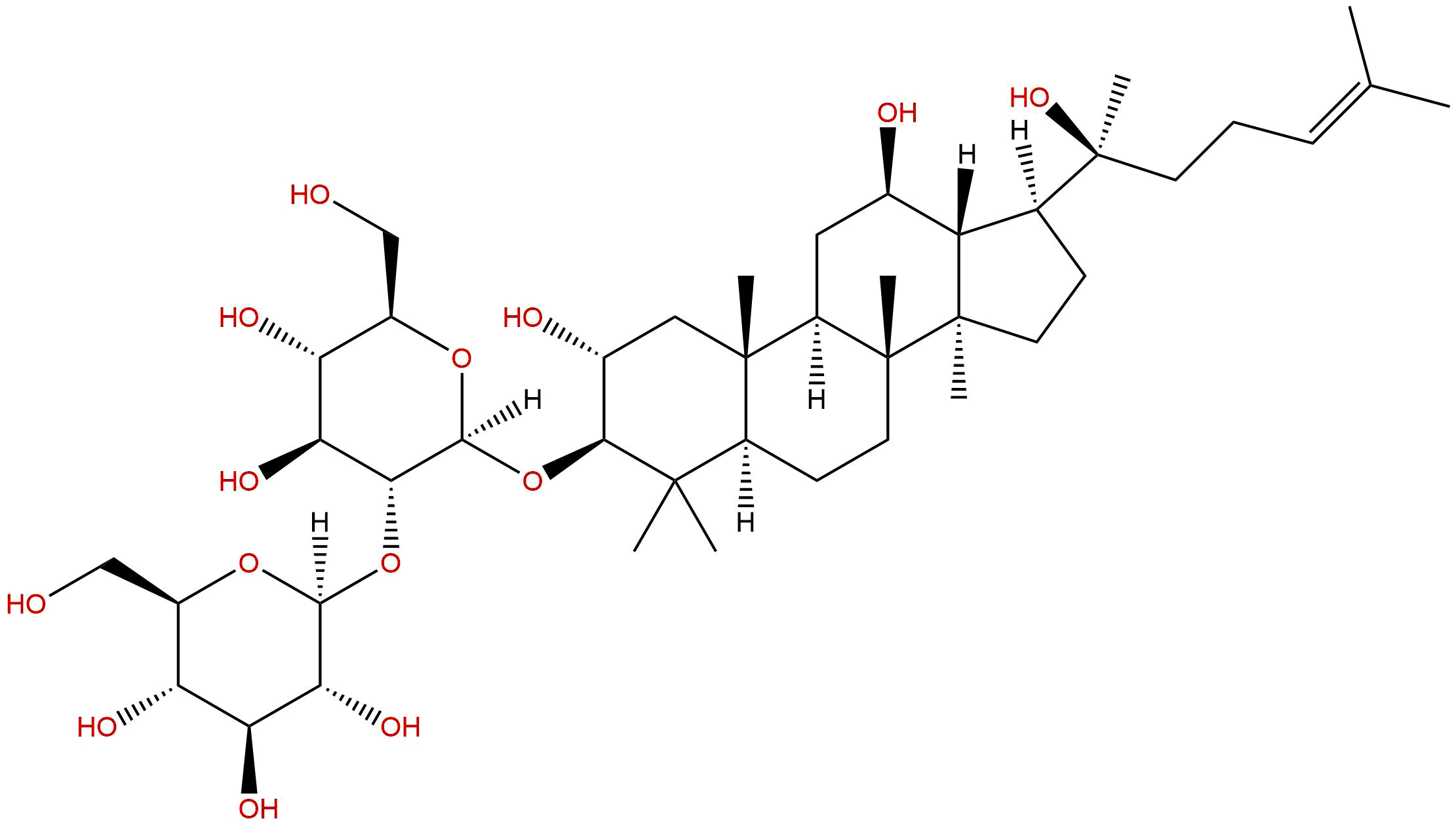
产品名称: 绞股蓝皂苷L
英文名: Gypenoside L
中文别名:
英文别名:
Cas 号: 94987-09-4
产品编码:BP4848
分子式: C42H72O14
分子量: 801.024
来源:
化合物类型: 三萜类(Triterpenoids)
纯度: 95%~99%
分析方法: HPLC-DAD or/and HPLC-ELSD
鉴定方法: 质谱(Mass), 核磁(NMR)
包装: 棕色小玻璃瓶,按客户需求包装。
存储: 贮存在避光密闭容器中,冷藏或者冷冻长期保存。
样品溶液最好临用新配。如果需要提前配制的话,最好分成独立包装冷冻保存(-20℃以下),临用前再取出解冻,通常可以保存2周。
可以满足克级以上大量需求,详情请咨询。
提供相关图谱和分析方法指导,可以提供包括色谱柱,标准品和分析方法在内的含量测定整体服务包,价格优惠。
绞股蓝皂苷L的HPLC图谱
