我的账户 7×24小时客服热线:400-829-7929 语言:
热门产品: 人参皂苷Rh2,人参皂苷Rg3,胡萝卜苷, 木犀草苷
首页 > 产品目录 > 按植物来源分类 > 灵芝
产品分类
在线咨询
联系电话:
销售:
400-829-7929(7*24小时)
028-82633860
028-82633397 
028-
82633165
技术服务和产品定制:
028-82633987
在线服务:  
沈帅 
文静  点击这里给我发消息
贺丹丹  
点击这里给我发消息
      
销售微信1     ​销售微信2
灵芝
本品为多孔菌科真菌赤芝 Ganoderma lucidum ( Leyss. ex Fr. )Karst.或紫芝 Ganoderma sinense Zhao, Xu et Zhang 的干燥子实体。全年采收,除去杂质,剪除附有朽木、泥沙或培养基质的下端菌柄,阴干或在40~50℃烘干。
    【性状】  赤芝  外形呈伞状,菌盖肾形、半圆形或近圆形,直径10~18cm,厚1~2cm。皮壳坚硬,黄褐色至红褐色,有光泽,具环状棱纹和辐射状皱纹,边缘薄而平截,常稍内卷。菌肉白色至淡棕色。菌柄圆柱形,侧生,少偏生,长7~15cm, 直径1~3.5cm,红褐色至紫褐色,光亮。孢子细小,黄褐色。气微香,味苦涩。
查看详情
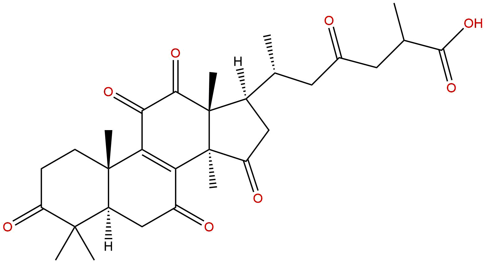
CAS NO.: 1961358-01-9  分子式: C30H42O6
产品名称: 15α-羟基-3,11,23-三氧烷甾-8,20-二烯-26-油酸
英文名称: (15α,20Z)-15-hydroxy-3,11,23-trioxo-Lanosta-8,20(22)-dien-26-oic acid
CAS NO.: 97653-93-5  分子式: C24H32O5
产品名称: 赤芝酮B
英文名称: Lucidone B
CAS NO.: 2374206-90-1  分子式: C32H44O9
产品名称: 12β-乙酰灵芝酸θ
英文名称: 12β-Acetoxyganoderic Acid θ
CAS NO.: 97653-92-4  分子式: C24H34O5
产品名称: 赤芝酮A
英文名称: Lucidone A
CAS NO.: 1446750-73-7  分子式: C24H34O5
产品名称: 赤芝酮F
英文名称: Lucidone F
CAS NO.: 112430-63-4  分子式: C34H50O6
产品名称: 灵芝酸S
英文名称: Ganodermic acid S
CAS NO.: 294674-00-3  分子式: C30H44O7
产品名称: 灵芝酸Gama
英文名称: Ganoderic acid Gama
CAS NO.: 95311-97-0  分子式: C30H42O7
产品名称: 灵芝酸C1
英文名称: Ganoderic acid C1
CAS NO.: 114567-47-4  分子式: C30H46O3
产品名称: 灵芝醇F
英文名称: Ganoderiol F
CAS NO.: 120462-47-7  分子式: C30H38O7
产品名称: 灵芝烯酸F
英文名称: Ganoderenic acid F
第 1 页 / 共 8 页第一页上一页下一页最末页转到