| 产品编号: | BP2296 |
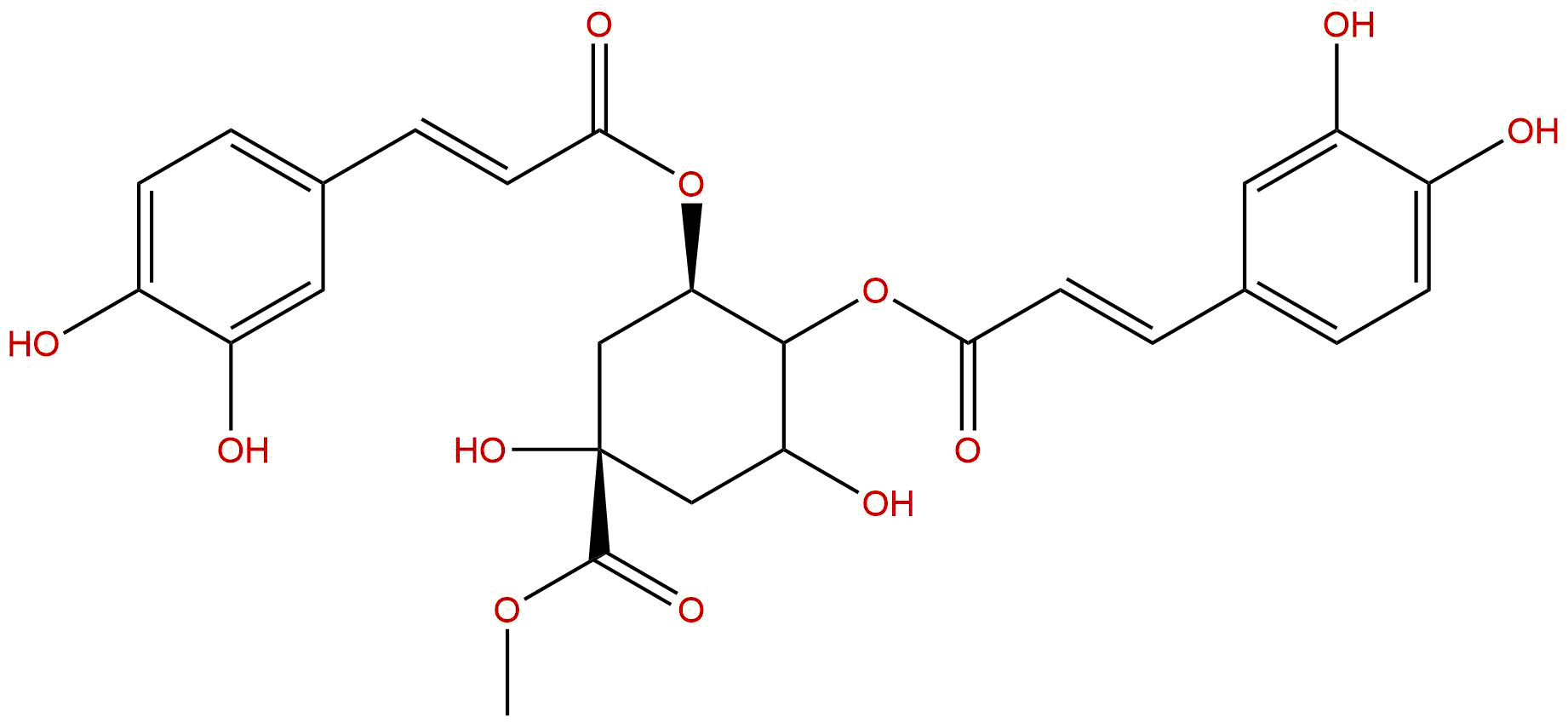
| 英文名称: | 3,4-O-Dicaffeoylquinic acid methyl ester |
| 英文别名: | |
| 分 子 式: | C26H26O12 |
| 分 子 量: | 530.482 |
文静
贺丹丹 

产品名称: 异绿原酸B甲酯
英文名: 3,4-O-Dicaffeoylquinic acid methyl ester
中文别名:
英文别名: Macroantoin F;Methyl 4,5-di-O-caffeoylquinate
Cas 号: 114637-83-1
产品编码:BP2296
分子式: C26H26O12
分子量: 530.482
来源:
化合物类型: 苯丙素类(Phenylpropanoids)
纯度: 95%~99%
分析方法: HPLC-DAD or/and HPLC-ELSD
鉴定方法: 质谱(Mass), 核磁(NMR)
包装: 棕色小玻璃瓶,按客户需求包装。
存储: 贮存在避光密闭容器中,冷藏或者冷冻长期保存。
样品溶液最好临用新配。如果需要提前配制的话,最好分成独立包装冷冻保存(-20℃以下),临用前再取出解冻,通常可以保存2周。
可以满足克级以上大量需求,详情请咨询。
提供相关图谱和分析方法指导,可以提供包括色谱柱,标准品和分析方法在内的含量测定整体服务包,价格优惠。
异绿原酸B甲酯的HPLC图谱
