我的账户 7×24小时客服热线:400-829-7929 语言:
热门产品: 人参皂苷Rh2,人参皂苷Rg3,胡萝卜苷, 木犀草苷
首页 > 产品目录 > 中药化学成分化合物库

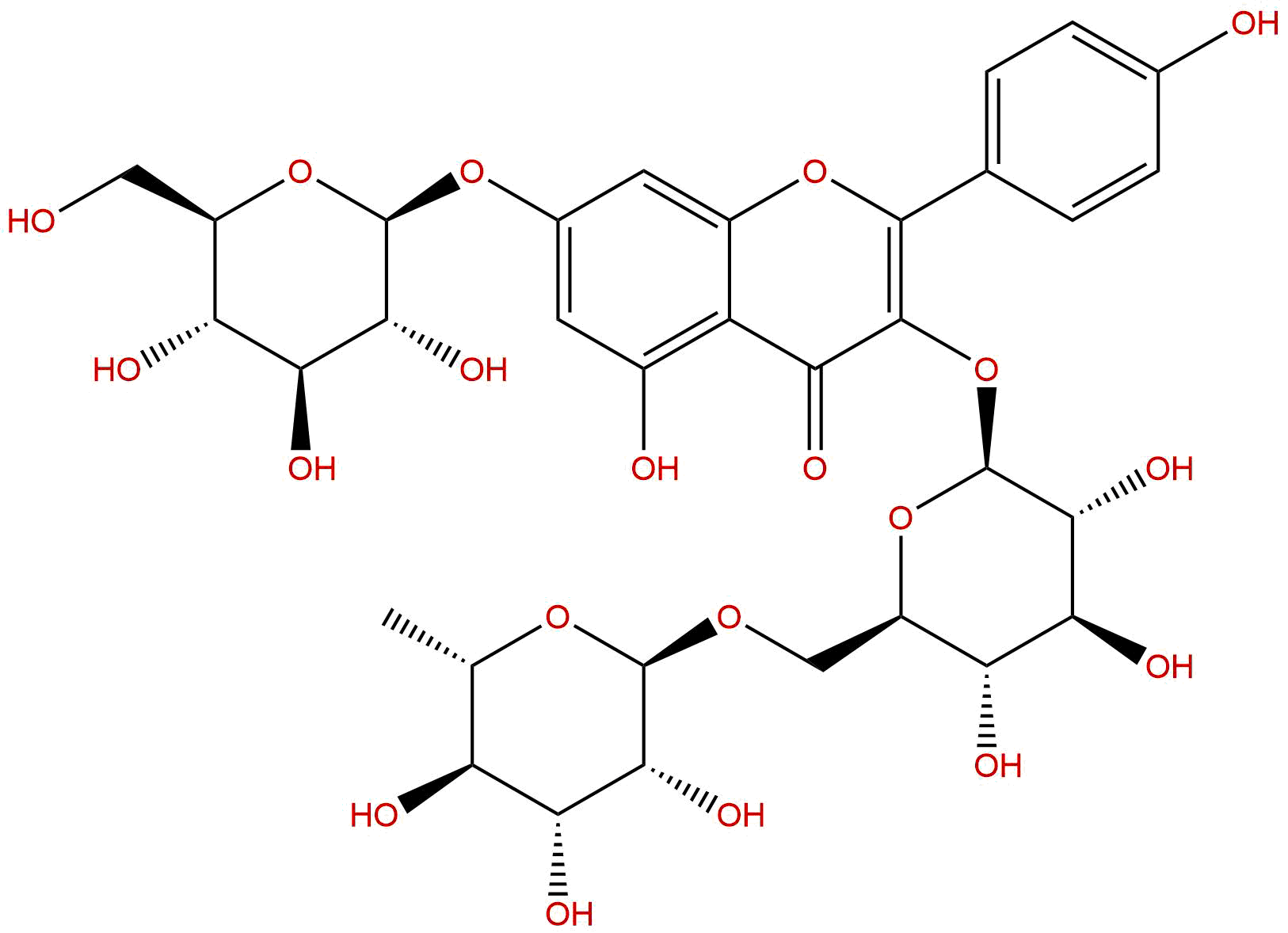
山柰酚-3-O-芸香糖-7-O-葡萄糖苷

CAS No.:34336-18-0
产品编号: BP4901
英文名称: Kaempferol 3-O-rutinoside 7-O-glucoside
英文别名:
分 子 式: C33H40O20
分 子 量: 756.663
​​销售联系电话400-829-7929
028-82633860,82633397,82633165
沈帅 点击这里给我发消息 文静  点击这里给我发消息 
惠敏 点击这里给我发消息 贺丹丹  点击这里给我发消息
           
销售微信1        销售微信2        技术微信
技术服务和产品定制028-82633987
点击这里给我发消息 Email: sales@biopurify.cn 
注册登陆后查看价格及下单

山柰酚-3-O-芸香糖-7-O-葡萄糖苷SKU信息

山柰酚-3-O-芸香糖-7-O-葡萄糖苷介绍

产品名称: 山柰酚-3-O-芸香糖-7-O-葡萄糖苷
英文名: Kaempferol 3-O-rutinoside 7-O-glucoside
中文别名:
英文别名: Moragrol A
Cas 号: 34336-18-0
产品编码:BP4901
分子式: C33H40O20
分子量: 756.663
来源:
化合物类型: 黄酮类(Flavonoids)

纯度: 95%~99%
分析方法: HPLC-DAD or/and HPLC-ELSD
鉴定方法: 质谱(Mass), 核磁(NMR)
包装: 棕色小玻璃瓶,按客户需求包装。
存储: 贮存在避光密闭容器中,冷藏或者冷冻长期保存。
样品溶液最好临用新配。如果需要提前配制的话,最好分成独立包装冷冻保存(-20℃以下),临用前再取出解冻,通常可以保存2周。

可以满足克级以上大量需求,详情请咨询。

提供相关图谱和分析方法指导,可以提供包括色谱柱,标准品和分析方法在内的含量测定整体服务包,价格优惠。


山柰酚-3-O-芸香糖-7-O-葡萄糖苷质检证书COA

COA搜索:

山柰酚-3-O-芸香糖-7-O-葡萄糖苷MSDS

MSDS搜索:

山柰酚-3-O-芸香糖-7-O-葡萄糖苷参考文献