我的账户 7×24小时客服热线:400-829-7929 语言:
热门产品: 人参皂苷Rh2,人参皂苷Rg3,胡萝卜苷, 木犀草苷
首页 > 产品目录 > Botanical Source > Siraitiae fructus
产品分类
在线咨询
联系电话:
销售:
400-829-7929(7*24小时)
028-82633860
028-82633397 
028-
82633165
技术服务和产品定制:
028-82633987
在线服务:  
沈帅 
文静  点击这里给我发消息
贺丹丹  
点击这里给我发消息
      
销售微信1     ​销售微信2
Siraitiae fructus
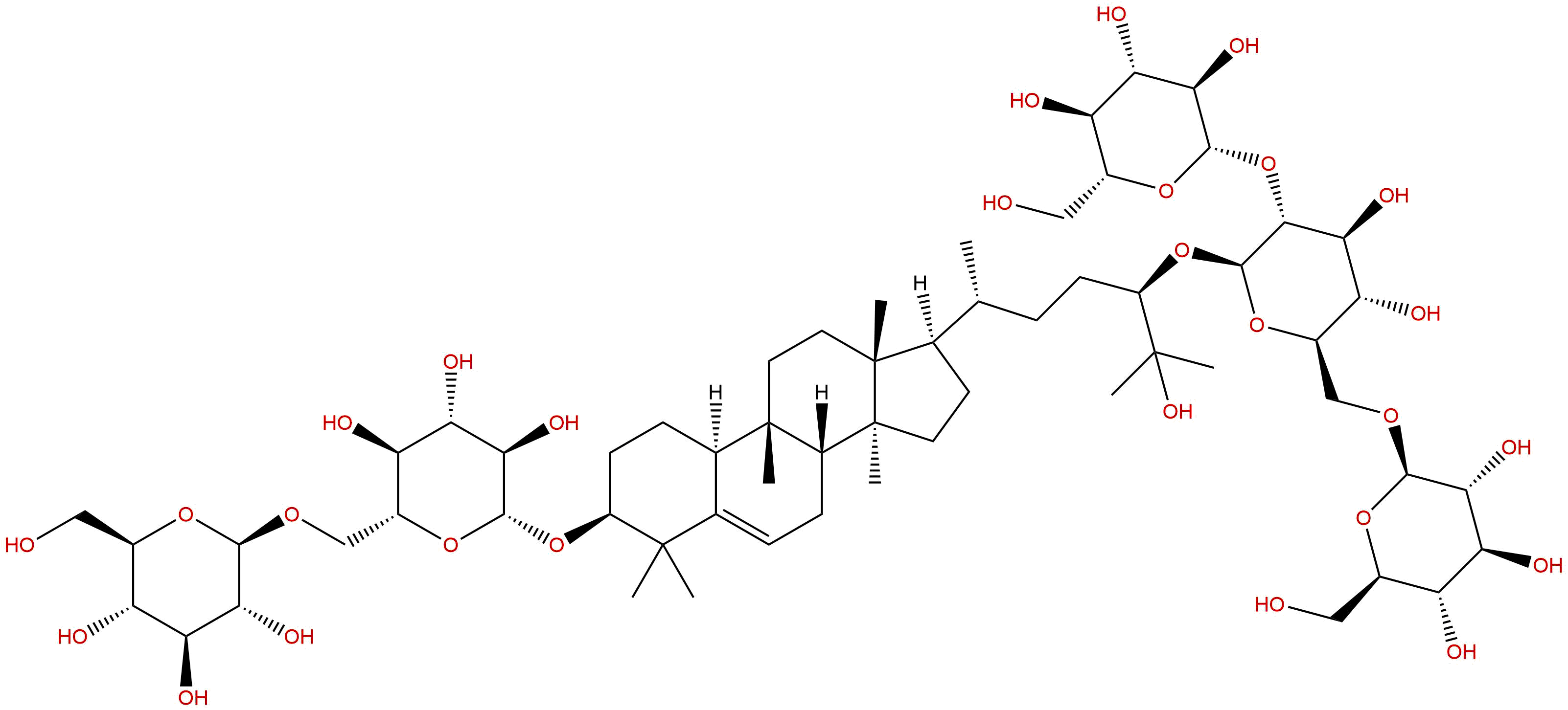
CAS NO.:   分子式: C48H80O19
产品名称: 11-O-罗汉果苷III A1
英文名称: 11-O-Mogroside IIIA1
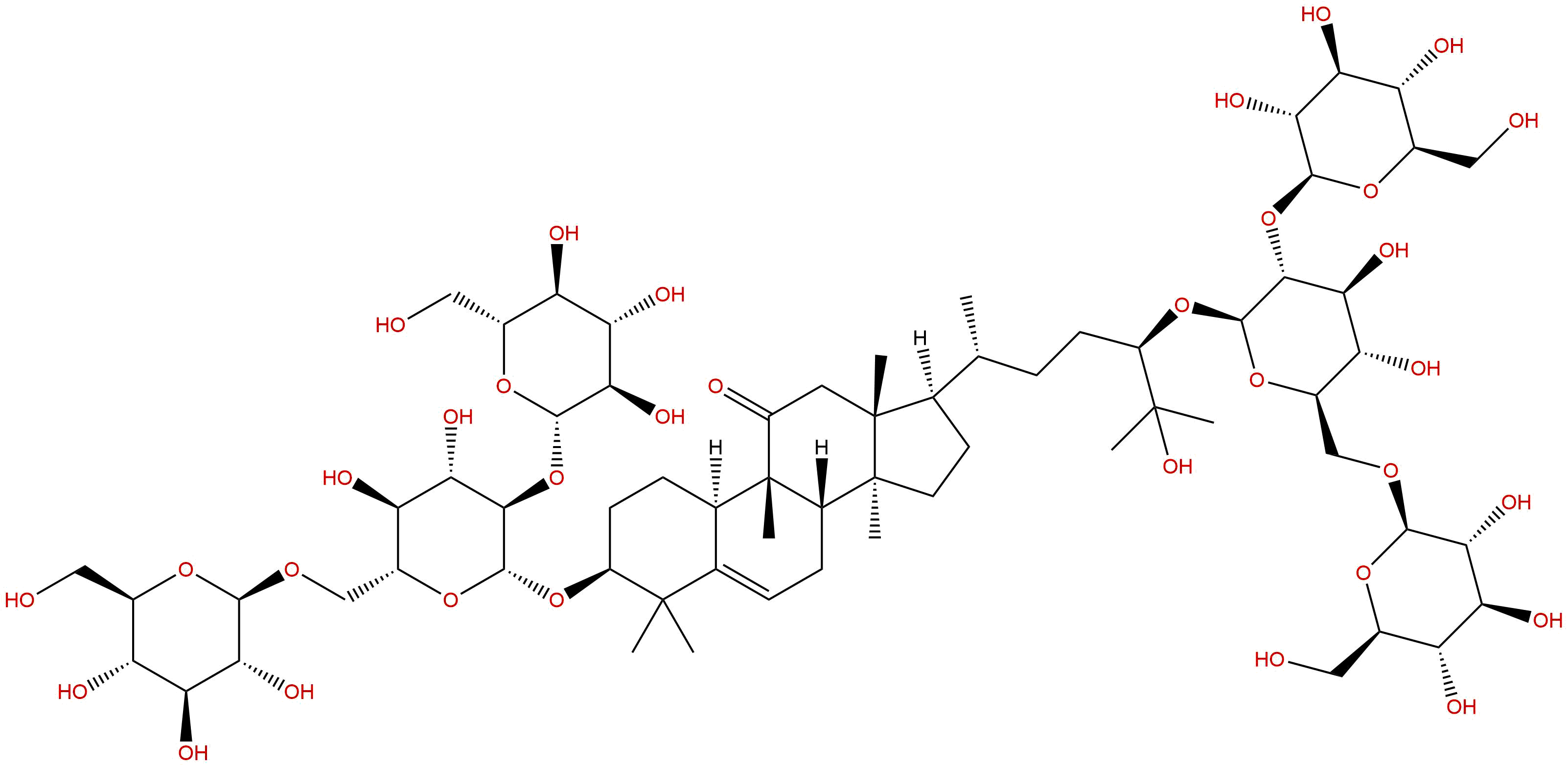
CAS NO.: 942612-74-0  分子式: C42H70O14
产品名称: 11-氧-罗汉果苷II A1
英文名称: 11-Oxomogroside IIA1
CAS NO.:   分子式: C36H62O9
产品名称: 3α-羟基罗汉果苷 IA1
英文名称: 3α-Hydroxymogroside IA1
CAS NO.: 1343402-73-2  分子式: C30H52O4
产品名称: 3α-羟基罗汉果醇
英文名称: 3α-Hydroxymogrol
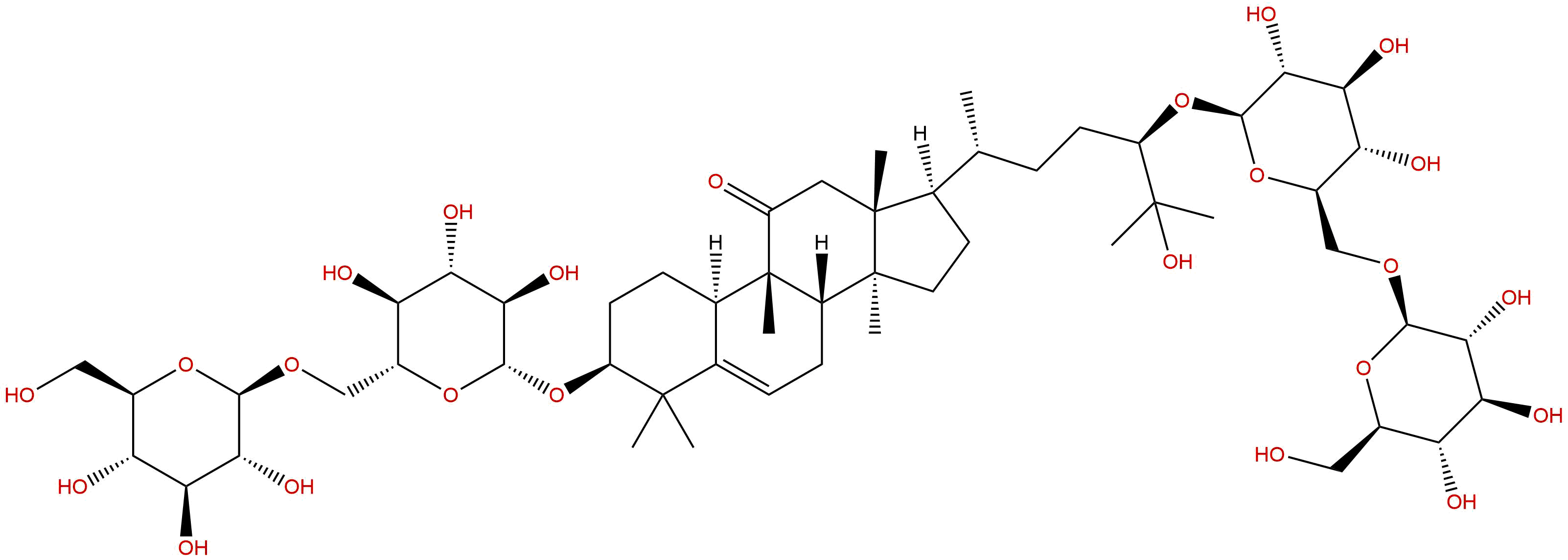
CAS NO.:   分子式: C42H72O14
产品名称: 罗汉果苷IA1-(1-3)-葡萄糖苷
英文名称: Mogroside IA-(1-3)-glucopyranoside
CAS NO.: 2096516-68-4  分子式: C48H80O19
产品名称: 11-O-罗汉果苷IIIe
英文名称: 11-Oxomogroside IIIe
CAS NO.: 952481-53-7  分子式: C48H80O19
产品名称: 11-O-罗汉果苷III
英文名称: 11-Oxomogroside III
CAS NO.: 88901-39-7  分子式: C36H62O9
产品名称: 罗汉果苷Ie1
英文名称: Mogroside Ie1
CAS NO.: 88901-38-6  分子式: C42H72O14
产品名称: 罗汉果苷IIe
英文名称: Mogroside IIe
CAS NO.: 88901-46-6  分子式: C36H62O9
产品名称: 罗汉果苷Ia1
英文名称: Mogroside Ia1
第 1 页 / 共 3 页第一页上一页下一页最末页转到