我的账户 7×24小时客服热线:400-829-7929 语言:
热门产品: 人参皂苷Rh2,人参皂苷Rg3,胡萝卜苷, 木犀草苷
首页 > 产品目录 > 按化合物类型分类 > 甾体及其皂苷类(Steroids)

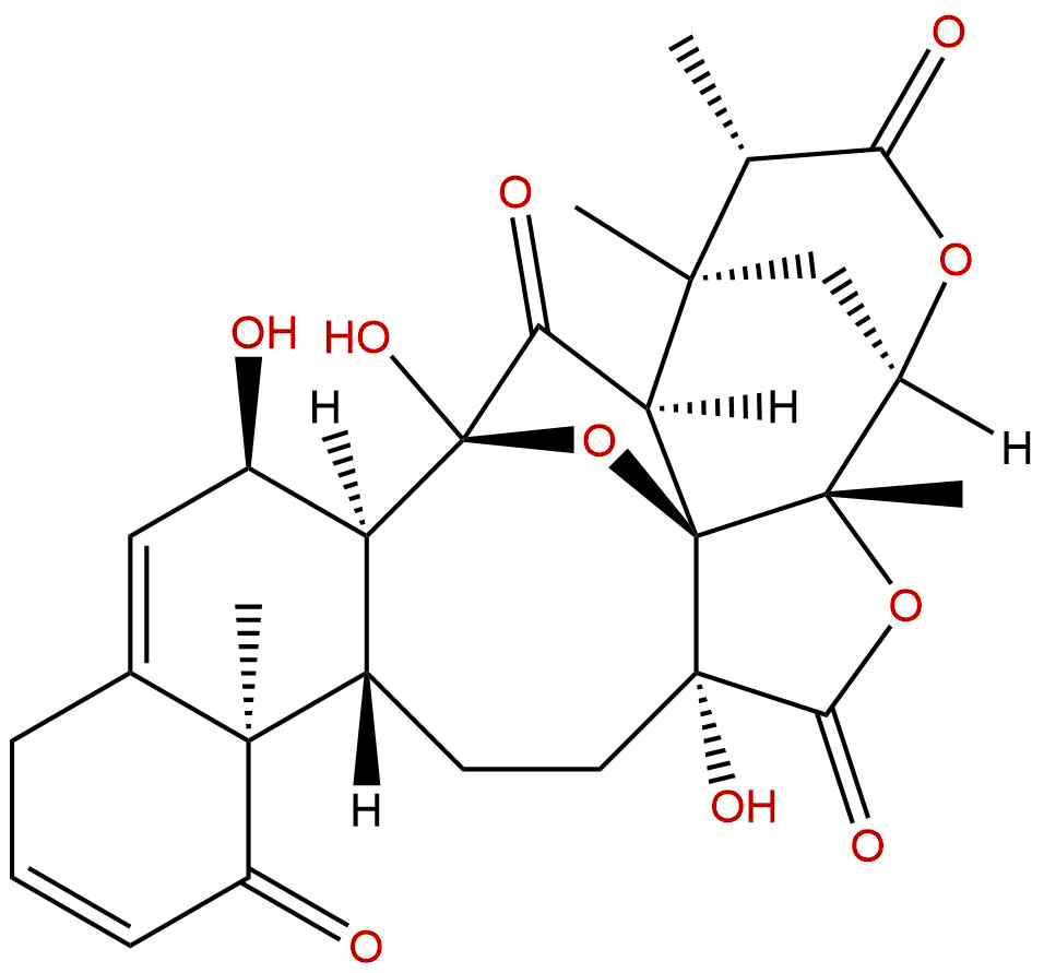
酸浆苦味素O

CAS No.:120849-18-5
产品编号: BP6068
英文名称: Physalin O
分 子 式: C28H32O10
分 子 量: 528.554
植物来源: 酸浆
​​销售联系电话400-829-7929
028-82633860,82633397,82633165
沈帅 点击这里给我发消息 文静  点击这里给我发消息 
惠敏 点击这里给我发消息 贺丹丹  点击这里给我发消息
           
销售微信1        销售微信2        技术微信
技术服务和产品定制028-82633987
点击这里给我发消息 Email: sales@biopurify.cn 
注册登陆后查看价格及下单

酸浆苦味素OSKU信息

酸浆苦味素O介绍

产品名称: 酸浆苦味素O
英文名: Physalin O
中文别名:
英文别名:
Cas 号: 120849-18-5
产品编码:BP6068
分子式: C28H32O10
分子量: 528.554
来源: 酸浆
化合物类型: 甾体及其皂苷类(Steroids)

纯度: 95%~99%
分析方法: HPLC-DAD or/and HPLC-ELSD
鉴定方法: 质谱(Mass), 核磁(NMR)
包装: 棕色小玻璃瓶,按客户需求包装。
存储: 贮存在避光密闭容器中,冷藏或者冷冻长期保存。
样品溶液最好临用新配。如果需要提前配制的话,最好分成独立包装冷冻保存(-20℃以下),临用前再取出解冻,通常可以保存2周。

可以满足克级以上大量需求,详情请咨询。

提供相关图谱和分析方法指导,可以提供包括色谱柱,标准品和分析方法在内的含量测定整体服务包,价格优惠。


酸浆苦味素O质检证书COA

COA搜索:

酸浆苦味素OMSDS

MSDS搜索:

酸浆苦味素O参考文献