我的账户 7×24小时客服热线:400-829-7929 语言:
热门产品: 人参皂苷Rh2,人参皂苷Rg3,胡萝卜苷, 木犀草苷
首页 > 产品目录 > 按植物来源分类 > 人参
产品分类
在线咨询
联系电话:
销售:
400-829-7929(7*24小时)
028-82633860
028-82633397 
028-
82633165
技术服务和产品定制:
028-82633987
在线服务:  
沈帅 
文静  点击这里给我发消息
贺丹丹  
点击这里给我发消息
      
销售微信1     ​销售微信2
人参
人参的成分有人参多糖,人参皂苷,人参烯醇,人参素,人参酸,还有一些蛋白质,挥发油,微生物,微量元素等成分。其中最有效的成分是人参皂苷,可以代表人参大部分的功效。人参皂苷现在研究发现已有50余种,普瑞法科技现货供应40余种人参成分。

人参皂苷类型包括:
1,齐墩果酸(OA,齐墩果烷型五环三萜皂苷)类: 人参皂苷Ro(大量现货)。 
2, 原人参二醇(PPD,达玛烷型四环三萜皂苷)类: 人参皂苷Ra1、Ra2、Ra3、Rb1、Rb2、Rb3、Rc、Rd、Rg3、Rh2、Rs1、Rs2, 丙二酰基人参皂苷Rb1、Rb2、Rc、Rd, 三七皂苷R4, 西洋参皂苷R1, 20(S)-人参皂苷Rg3, 20(R)-人参皂苷Rh2, 20(S)-人参皂苷Rh2,
原人参二醇等等。
3, 原人参三醇(PPT,达玛烷型四环三萜皂苷)类: 人参皂苷Re、Rf、Rg1、Rg2、Rh1、Rh3、Rf1, 20-葡萄糖基人参皂苷Rf, 20(R)-人参皂苷Rg2, 20(R)-人参皂苷Rh1, 三七人参皂苷R1,假人参皂苷R11、Rp1、Rt1,chikusetsusaponinⅣ和Ⅳa, 原人参三醇等等。

我们可以提供公斤级 的热门产品有
原人参 二醇原人参三醇人参皂苷Rg3, 人参皂苷Rh2人参皂苷CK,纯度90%~99%,除此之外的其他成分也可以接受大量定制。现货提供超过60个以上的人参成分。
相关成分列表下载:

人参、三七系列成分202011
 
CAS NO.: 66007-93-0  分子式: C31H56O4
产品名称: 20(S)-25-甲氧基原人参二醇
英文名称: 20(S)-25-Methoxyprotopanaxadiol
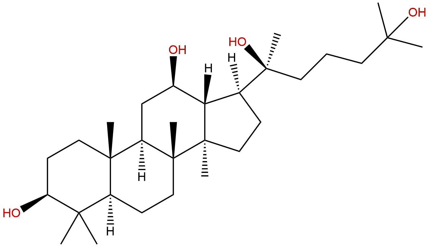
CAS NO.: 83349-37-5  分子式: C30H54O4
产品名称: 20(R)-25-羟基原人参二醇
英文名称: 20(R)-25-Hydroxyprotopanaxadiol
CAS NO.: 66007-91-8  分子式: C30H54O4
产品名称: 20(S)-25-羟基原人参二醇
英文名称: 20(S)-25-Hydroxyprotopanaxadiol
CAS NO.: 848830-68-2  分子式: C30H52O4
产品名称: (20S)人参三醇
英文名称: (20S)-Panaxatriol
CAS NO.: 112791-34-1  分子式: C30H52O3
产品名称: (20S)人参二醇
英文名称: (20S)-Panaxadiol
CAS NO.: 208764-53-8  分子式: C50H84O19
产品名称: 西洋参皂苷 III
英文名称: Quinquenoside III
CAS NO.: 102805-32-3  分子式: C50H84O19
产品名称: 拟人参皂苷 RC1
英文名称: Pseudoginsenoside RC1
CAS NO.: 1613477-95-4  分子式: C55H92O23
产品名称: β-D-Glucopyranoside, (3β,12β)-20-[(6-O-α-L-arabinofuranosyl-β-D-glucopyranosyl)oxy]-12-hydroxydammar-24-en-3-yl 2-O-β-D-glucopyranosyl-, 6-acetate
英文名称: β-D-Glucopyranoside, (3β,12β)-20-[(6-O-α-L-arabinofuranosyl-β-D-glucopyranosyl)oxy]-12-hydroxydammar-24-en-3-yl 2-O-β-D-glucopyranosyl-, 6-acetate
CAS NO.: 69884-01-1  分子式: C55H92O23
产品名称: 拟人参皂苷 F8
英文名称: Pseudoginsenoside F8
CAS NO.: 85013-02-1  分子式: C56H94O24
产品名称: 西洋参皂苷R1
英文名称: Quinquenoside R1
第 2 页 / 共 8 页第一页上一页下一页最末页转到