我的账户 7×24小时客服热线:400-829-7929 语言:
热门产品: 人参皂苷Rh2,人参皂苷Rg3,胡萝卜苷, 木犀草苷
首页 > 产品目录 > 按化合物类型分类 > 蒽醌类(Anthraquinones)
产品分类
在线咨询
联系电话:
销售:
400-829-7929(7*24小时)
028-82633860
028-82633397 
028-
82633165
技术服务和产品定制:
028-82633987
在线服务:  
沈帅 
文静  点击这里给我发消息
贺丹丹  
点击这里给我发消息
      
销售微信1     ​销售微信2
蒽醌类(Anthraquinones)
中药活性成份-蒽醌类(Anthraquinones)
CAS NO.: 2366153-27-5  分子式: C17H14O7
产品名称: 1,6,8-三羟基-2,7-二甲氧基-3-甲基蒽醌
英文名称: 1,6,8-Trihydroxy-2,7-dimethoxy-3-methylanthraquinone
CAS NO.: 1622982-59-5  分子式: C18H16O7
产品名称: 6,8-二羟基-1,2,7-三甲氧基-3-甲基蒽醌
英文名称: 6,8-Dihydroxy-1,2,7-trimethoxy-3-methylanthraquinone
CAS NO.: 106533-41-9  分子式: C34H38O17
产品名称: 芦荟宁B
英文名称: Aloenin B
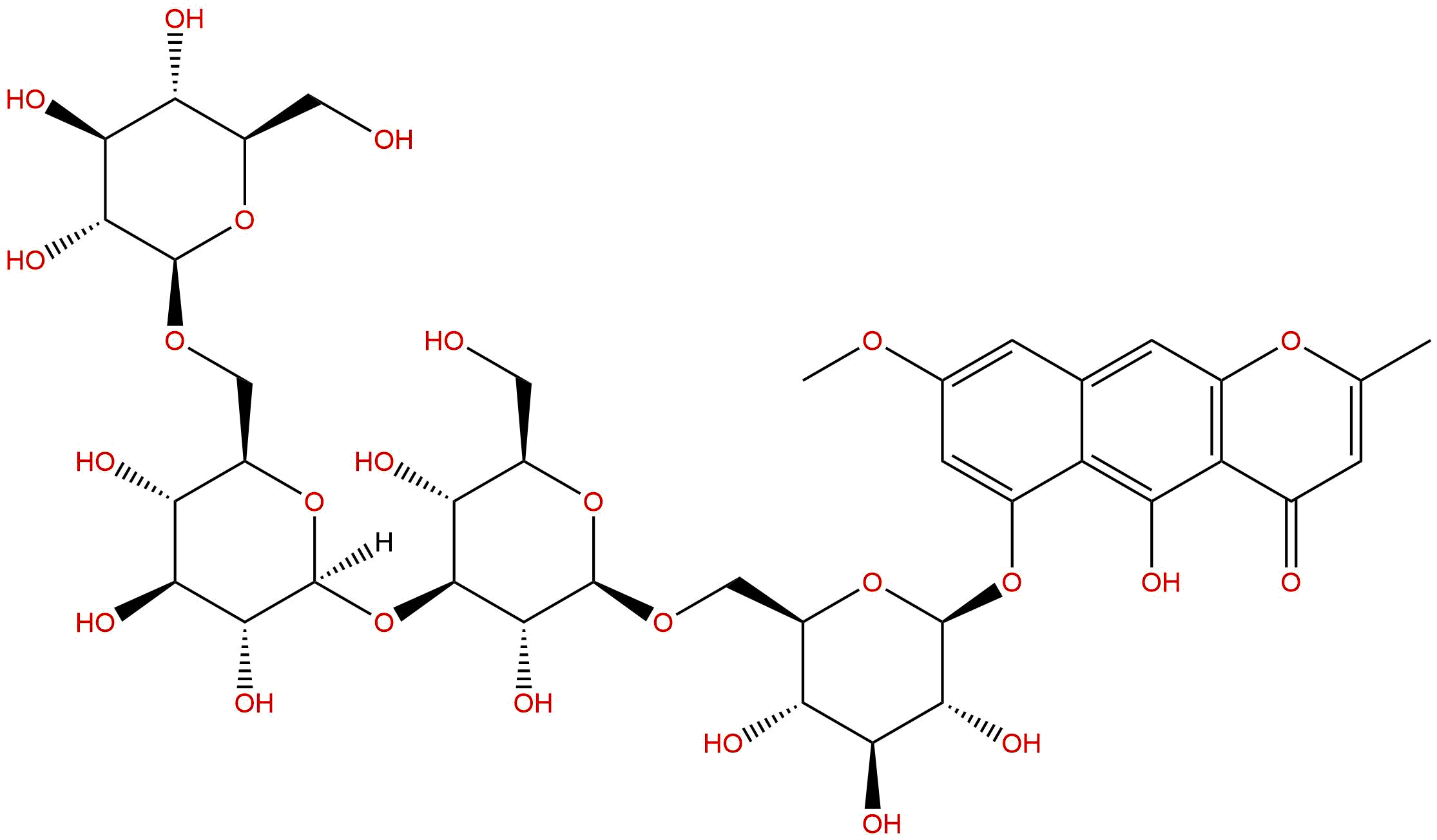
CAS NO.: 218155-40-9  分子式: C39H52O25
产品名称: 决明子苷B2
英文名称: Cassiaside B2
CAS NO.: 119170-51-3  分子式: C26H30O14
产品名称: 决明子苷B
英文名称: Cassiaside B
CAS NO.: 13709-03-0  分子式: C20H20O10
产品名称: 决明子苷
英文名称: Cassiaside
CAS NO.: 80368-74-7  分子式: C15H10O6
产品名称: 3-羟基巴戟醌
英文名称: 3-Hydroxymorindone
CAS NO.: 401621-27-0  分子式: C16H10O6
产品名称: 6-甲基大黄酸
英文名称: 6-Methylrhein
CAS NO.: 23451-01-6  分子式: C22H22O10
产品名称: 大黄素甲醚-8-葡萄糖苷
英文名称: Physcion 8-glucoside
CAS NO.: 70588-06-6  分子式: C19H18O7
产品名称: 黄决明素
英文名称: Chrysoobtusin
第 1 页 / 共 5 页第一页上一页下一页最末页转到