我的账户 7×24小时客服热线:400-829-7929 语言:
热门产品: 人参皂苷Rh2,人参皂苷Rg3,胡萝卜苷, 木犀草苷
首页 > 产品目录
产品分类
在线咨询
联系电话:
销售:
400-829-7929(7*24小时)
028-82633860
028-82633397 
028-
82633165
技术服务和产品定制:
028-82633987
在线服务:  
沈帅 
文静  点击这里给我发消息
贺丹丹  
点击这里给我发消息
      
销售微信1     ​销售微信2
产品目录
CAS NO.: 147235-17-4  分子式: C27H26O7
产品名称: 白及醇B
英文名称: Bletilol B
CAS NO.: 133740-30-4  分子式: C22H18O4
产品名称: 1-(4-羟苄基)-4-甲氧基菲-2,7-二醇
英文名称: 1-(4-hydroxybenzyl)-4-methoxypenanthrene-2,7-diol
CAS NO.: 151538-57-7  分子式: C22H22O4
产品名称: 3',5-二羟基-2(4-羟苄基)-3-甲氧基联苄
英文名称: Isoarundinin I
CAS NO.: 87530-26-5  分子式: C22H20O4
产品名称: 1-(4-羟苄基)-4-甲氧基-9,10-二氢菲-2,7-二醇
英文名称: 1-(4-hydroxybenzyl)-4-methoxy-9,10-dihydropenanthrene-2,7-diol
CAS NO.: 1580464-83-0  分子式: C25H36O12
产品名称: 金鸡菊苷B
英文名称: Coreoside B
CAS NO.: 346434-45-5  分子式: C16H12O6
产品名称: 2-羟基-大黄素-1-甲醚
英文名称: 2-Hydroxyl emodin-1-methyl ether
CAS NO.: 34425-63-3  分子式: C15H10O5
产品名称: 2,5-二羟基-1-甲氧基蒽醌
英文名称: 2,5-Dihydroxy-1-methoxy-anthraquinone
CAS NO.: 10383-62-7  分子式: C16H12O5
产品名称: 3-羟基-1,2-二甲氧基蒽醌
英文名称: 3-Hydroxy-1,2-dimethoxy-anthraquinone
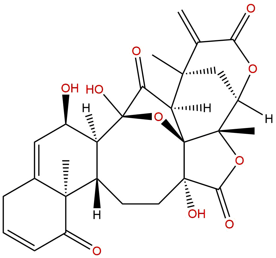
CAS NO.: 1402067-83-7  分子式: C22H28O8
产品名称: 野马追内酯H
英文名称: Eupalinolide H
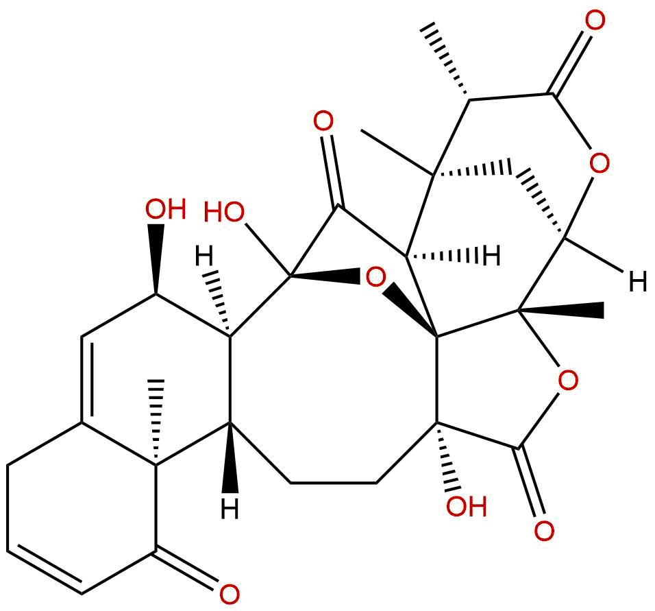
CAS NO.: 1000865-06-4  分子式: C22H28O8
产品名称: 野马追内酯C
英文名称: Eupalinolide C
第 8 页 / 共 708 页第一页上一页下一页最末页转到