我的账户 7×24小时客服热线:400-829-7929 语言:
热门产品: 人参皂苷Rh2,人参皂苷Rg3,胡萝卜苷, 木犀草苷
首页 > 产品目录 > 新产品
产品分类
在线咨询
联系电话:
销售:
400-829-7929(7*24小时)
028-82633860
028-82633397 
028-
82633165
技术服务和产品定制:
028-82633987
在线服务:  
沈帅 
文静  点击这里给我发消息
贺丹丹  
点击这里给我发消息
      
销售微信1     ​销售微信2
新产品
本公司产品不定期更新,一般每个月最少更新一次,欢迎关注。
CAS NO.: 1000787-86-9  分子式: C21H20O4
产品名称: 4-甲氧基-3,5-双(苯甲氧基)苯酚
英文名称: 4-Methoxy-3,5-bis(phenylmethoxy)phenol
CAS NO.: 24093-81-0  分子式: C9H10O5
产品名称: 3,5-二羟基-4-甲氧基苯甲酸甲酯
英文名称: Methyl 3,5-dihydroxy-4-methoxybenzoate
CAS NO.: 137527-38-9  分子式: C19H20O7
产品名称: 2-(4-Hydroxy-3-methoxy-cinnamoyl)-3.4.5-trimethoxy-phenol
英文名称: 2-(4-Hydroxy-3-methoxy-cinnamoyl)-3.4.5-trimethoxy-phenol
CAS NO.: 22248-14-2  分子式: C11H14O5
产品名称: 2,3,4-三甲氧基-6-羟基苯乙酮
英文名称: 6-Hydroxy-2,3,4-trimethoxyacetophenone
CAS NO.: 102448-00-0  分子式: C21H24O5
产品名称: 二氢黄腐酚
英文名称: Dihydroxanthohumol
CAS NO.: 135545-84-5  分子式: C17H20O4
产品名称: 3'-羟基-3,4,5'-三甲氧基联苯
英文名称: 3'-hydroxy-3,4,5'-trimethoxybibenzyl
CAS NO.: 117037-78-2  分子式: C21H28O10
产品名称: 菊苣萜苷B
英文名称: Cichorioside B
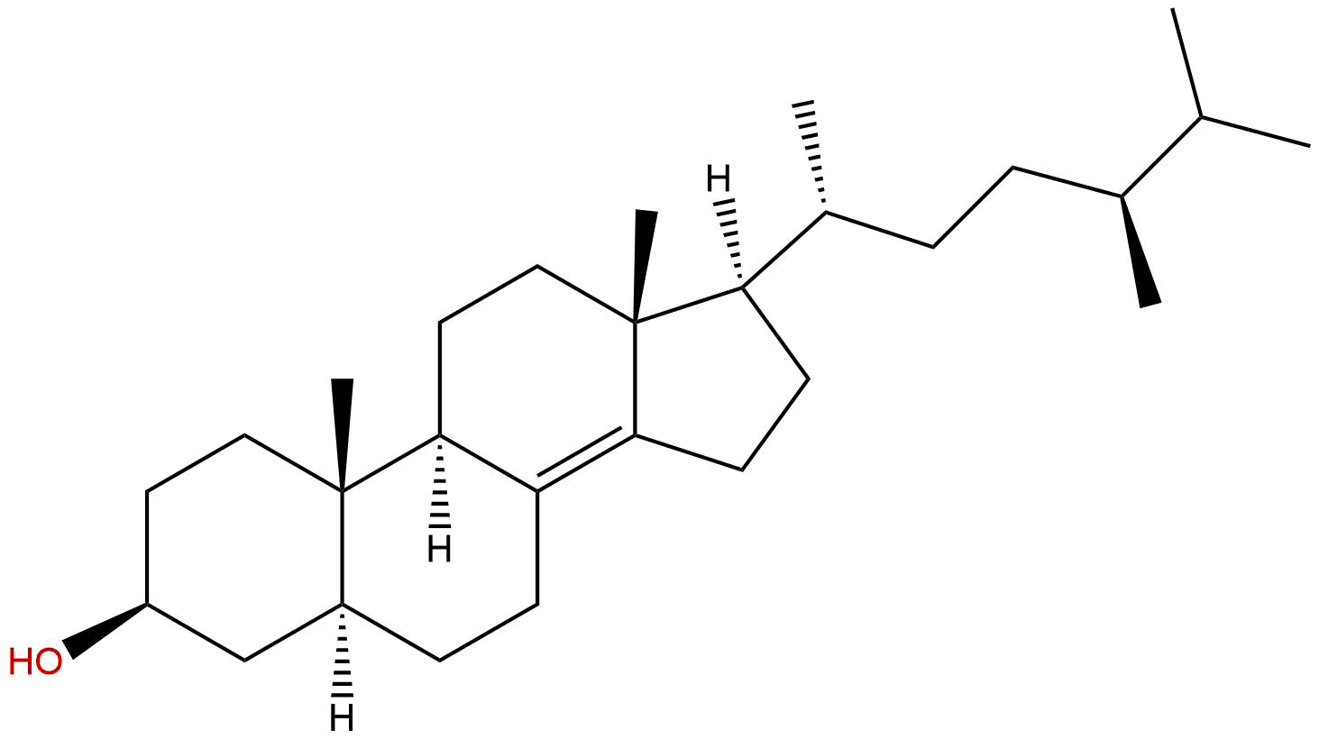
CAS NO.: 632-32-6  分子式: C28H48O
产品名称: α-麦角甾烯醇
英文名称: α-Ergostenol
CAS NO.: 83117-63-9  分子式: C15H18O5
产品名称: 11β,13-二氢山莴苣素
英文名称: 11β,13-Dihydrolactucin
CAS NO.: 95851-41-5  分子式: C47H74O18
产品名称: 地肤子皂苷II
英文名称: Momordin II
第 16 页 / 共 64 页第一页上一页下一页最末页转到